ประกันบำนาญ BLA HAPPY PENSION
รับรองให้บำนาญได้นานถึงอายุ 99 ปี พร้อมด้วยบำนาญเพิ่มพิเศษจากเงินปันผล ในยุคที่ประเทศไทยเข้าสู่วิกฤตปัญหาอายุยืนถึง 100 ปี

แบบประกันบำนาญที่ยังคงรับรองการให้บำนาญได้มากที่สุดและนานที่สุดแบบหนึ่งในปัจจุบัน ท่ามกลางภาวะอัตราดอกเบี้ยนโยบาย 2568-2569 ที่กำลังเป็นขาลง และอาจส่งผลให้ประกันบำนาญนี้มีโอกาสปิดรับสมัครหรือลดปีให้บำนาญลง
หมายเหตุ : ประกันบำนาญ คือ การบังคับเก็บเงินเพื่อนำมาใช้เป็นเงินบำนาญให้มากกว่าเงินที่เก็บหลายเท่า หรือ เป็นการรับรองรายได้ประจำปลอดภาษีในตอนเกษียณ
อายุรับทำประกัน
20 - 55 ปี
ระดับความเสี่ยงอาชีพที่รับทำประกัน
ทุกอาชีพ
ทุนประกันเริ่มต้น
50,000
ระดับสุขภาพที่รับทำประกัน
ทุกระดับสุขภาพ
ให้การทยอยเก็บเงิน เป็นไปได้อย่างมีวินัยตลอดอายุการทำงาน
เพื่อเป็นรายได้ประจำปลอดภาษีในตอนเกษียณ ที่รับรองการมีรายได้ได้นานที่สุดกับ ประกันบำนาญ BLA Happy Pension ที่..
- สวนทางกับแบบประกันบำนาญในปัจจุบัน ด้วยยังคงรับรองการจ่ายบำนาญได้นานถึงอายุ 99 ปี โดยเฉพาะในแบบที่แบ่งชำระเบี้ยได้นานถึงอายุครบ 60 ปี
- มีบำนาญเพิ่มพิเศษ จากเงินปันผลที่ทยอยสะสมให้กลายมาเป็นบำนาญพิเศษเพิ่มจากบำนาญปกติ โดยเฉพาะหากเริ่มทำประกันบำนาญตอนอายุยังน้อย
- เปลี่ยนเงินจากประมาณ 3 ล้าน ที่มักหมดลงตอนอายุไม่เกิน 75 ปี ให้กลายมาเป็นเงินเกือบ 10 ล้าน ที่ทยอยใช้ได้ตลอดจนถึงอายุ 99 ปี (เมื่อเริ่มทำประกันบำนาญตอนอายุไม่เกิน 40 ปี)
- มูลค่าเงินสดในสัญญาเติบโตเกินเบี้ยสะสมอย่างรวดเร็ว ทำให้สามารถกู้มูลค่าเงินสดออกมาหมุนเงินยามฉุกเฉินในช่วงก่อนรับบำนาญได้ ด้วยอัตราดอกเบี้ยที่ต่ำเพียง 4.15% - 4.25% ต่อปีเท่านั้น
- หากโชคร้ายจากไปก่อนได้รับบำนาญ หรือ ระหว่างการรับบำนาญ จะไม่มีการขาดทุนเบี้ยประกันที่ชำระมาแล้วอย่างแน่นอน
- มีโรคประจำตัว หรือ เป็น/เคยเป็น โรคร้าย ก็สามารถทำ BLA Happy Pension ได้ โดยไม่ต้องกังวลเรื่องการแถลงสุขภาพ หรือ ถูกขอตรวจสุขภาพใด ๆ อีก

แอนนี่ ตัวแทนประกันกรุงเทพประกันชีวิต
สวัสดีค่ะ แอนนี่จัดทำบทความนี้ขึ้นมา เพื่อทำหน้าที่ของตัวแทนในส่วนการบริการด้านข้อมูล "ก่อน" ทำประกันบำนาญ โดยเฉพาะข้อมูลที่ยากจะนำเสนอได้ครบถ้วนเพียงผ่านการพูดคุยดังนี้ค่ะ
- อำนวยความสะดวกค้นคว้าข้อมูลแบบประกันบำนาญให้มากที่สุด ทั้งในส่วนการรวบรวมข้อมูล การวิเคราะห์เจาะลึก ค้นคว้าปัญหาที่มาที่ไป การคำนวณเปรียบเทียบข้อดีข้อจำกัด ข้อควรระวัง ทั้งก่อน และ หลังทำประกัน
- อำนวยความสะดวกจัดทำไฟล์คำนวณเบี้ยประกันเบื้องต้น โดยที่สามารถใช้ Google Sheet คำนวณเบี้ยประกันได้ทันทีโดยไม่จำเป็นต้องรอสื่อสารไปกลับ
- อำนวยความสะดวกภายหลังทำประกันบำนาญ ด้วยการจัดทำเครื่องมือวางแผนเกษียณอย่างครบถ้วนต่อยอดจากจุดประสงค์การลดหย่อนภาษี ทั้งการวางแผนเบี้ยประกันสุขภาพหลังเกษียณ และ การวางแผนเกษียณอย่างยั่งยืน
เพื่อประกอบการตัดสินใจ หรือ ประกอบการสอบถามเพิ่มเติมได้ค่ะ
อวสานประกันบำนาญที่ให้บำนาญสูงและให้ได้นานที่สุด
เรียน
- ท่านที่ได้อ่านบทความ วิธีเลือกประกันบำนาญเพื่อลดหย่อนภาษี และ วิธีเลือกประกันบำนาญสำหรับเบี้ยประกันสุขภาพ แล้วเห็นว่า ประกันบำนาญเป็นรากฐานสำคัญของแผนเกษียณที่สามารถช่วย "เสริม" และ "รองรับ" เครื่องมือการลงทุนอื่นๆ ให้สามารถทำงานได้อย่างมีประสิทธิภาพไม่ต้องห่วงหน้าพะวงหลัง
- ท่านที่ไม่ต้องการจัดการดูแลกิจการ หรือ ยุ่งเกี่ยวกับผู้คนจำนวนมาก หรือ ต้องคอยแก้ไขปัญหาที่เกิดขึ้นจากภาวะเศรษฐกิจใดๆ เพื่อรักษากิจการให้ยังคงสร้างรายได้ประจำได้ต่อไป
- ท่านที่ต้องการมีรายได้ประจำปลอดภาษีให้นานที่สุดแบบการันตี หรือ ต้องการมีเงินใช้ไม่ให้หมดไปก่อนสิ้นอายุขัย โดยไม่ต้องมีเงินเก็บเป็นหลักร้อยหรือหลักพันล้านบาท
ในปัจจุบันท่านกำลังอยู่ในยุคที่เบี้ยประกันบำนาญกำลังจะทยอยปรับตัวขึ้นอีกครั้ง โดยปี 68 เริ่มมีบริษัทประกันบางแห่งได้ปิดรับสมัครแบบประกันบำนาญที่มีเบี้ยประกันราคาประหยัดลงบ้างแล้ว
แล้วทำการ เปิดแผนใหม่ปรับเป็นเริ่มให้บำนาญที่น้อยลงก่อนแล้วค่อยเพิ่มขึ้นตามอายุ กับ ปรับลดปีที่ให้บำนาญลง ซึ่งสวนทางกับอายุคนไทยที่ยืนยาวมากขึ้น รวมถึงสวนทางกับประกันบำนาญในต่างประเทศที่เน้นให้บำนาญตลอดชีวิตไม่ว่าจะอายุยืนเท่าไรก็ตาม
ด้วยเพราะอัตราดอกเบี้ยนโยบายกำลังอยู่ในช่วง "ขาลง" ตามกราฟอัตราดอกเบี้ยนโยบายของแบงค์ชาติด้านล่างนี้

ซึ่งเหตุการณ์นี้เคยเกิดขึ้นกับทาง BLA มาแล้วในช่วงปี 2562 ที่ต้องปิดรับสมัครแบบประกันบำนาญที่ดีที่สุดตลอดกาลตั้งแต่ปี 53-62 อย่าง BLA บำนาญ 600 ที่ให้อัตราผลตอบแทน IRR ได้สูงถึง 4.43% ต่อปี เมื่อรวมบำนาญทั้งหมดถึงอายุ 99 ปี
ด้วยเพราะ BLA บำนาญ 600 เกิดขึ้นช่วงปี 53 ที่อัตราดอกเบี้ยนโยบายเป็นช่วงขาขึ้นอย่างรวดเร็วเหมือนตอนปี 47 และคาดการว่า อัตราดอกเบี้ยน่าจะมีลักษณะขึ้นลงสลับไปมาที่ไม่น่าหลุดต่ำกว่า 1.25% - 1.5% ไปได้
แต่กลับกลายเป็นว่าช่วงปี 62 ที่อัตราดอกเบี้ยไม่ได้กลับมาเป็นขาขึ้นหลังได้ลงไปแล้ว แต่ดอกเบี้ยกลับลดลงต่อเนื่องและทะลุลงไปเหลือต่ำกว่า 1% จนทำให้ BLA ต้องปิดรับสมัคร BLA บำนาญ 600 ลง และ เปิดรับสมัครประกันบำนาญ BLA บำนาญ 99 ขึ้นมาแทน ที่มีอัตราผลตอบแทนต่ำกว่า BLA บำนาญ 600 เป็นอย่างมาก

ซึ่งประกันบำนาญ BLA บำนาญ 99 นั้น ไม่ต่างอะไรกับการปรับฐาน และ ปรับกลุยทธ ธุรกิจประกันของ BLA ใหม่ และ เป็นจุดเริ่มให้ BLA ได้เบนเข็มออกจากเป้าหมายประกันบำนาญอันดับ 1 ของตลาด และปิดยุคสมัยของแบบประกันบำนาญที่ทำให้ BLA เป็นที่รู้จักในวงกว้าง โดยเฉพาะในหมู่นักลงทุนจำนวนมากลง
อย่างไรตามเหตุการณ์ภายหลังโควิค ตอนปี 65-66 ได้กลับมาดันให้อัตราดอกเบี้ยนโยบายกลับมาเป็นขาขึ้นแบบจำเป็น ด้วยเงินที่เฟ้อขึ้นอย่างมากจากปัจจัยการอัดเม็ดเงินเข้าระบบเพื่อกระตุ้นเศรษฐกิจ
และจึงกลายเป็นที่มาให้ BLA ตัดสินใจกลับมาทวงบังลังก์ประกันบำนาญอีกครั้ง ด้วยแบบประกันบำนาญใหม่ ที่มีโจทย์สำคัญว่าผลตอบแทนต้องดีขึ้น และ ต้องสามารถยืดหยุ่นต่อสู้กับอัตราดอกเบี้ยนโยบายขาลงได้ดีในระดับหนึ่ง เพราะไม่ทราบว่าอัตราดอกเบี้ยที่ 0.5% ต่อปี จะกลับมาอีกเมื่อไร

ทำให้ทาง BLA ต้องทำการบ้านอย่างหนัก เพื่อที่ ประกันบำนาญของ BLA จะสามารถกลับมาเป็นหนึ่งในแบบประกันบำนาญที่เบี้ยประกันคุ้มค่าที่สุดในตลาดได้อีกครั้งสำหรับท่าน โดยเฉพาะเมื่อเทียบกับบริษัทประกันชีวิตที่มีส่วนแบ่งทางการตลาด 10 อันดับแรกที่มีความมั่นคงสูงในประเทศไทย
BLA ต้องทำอย่างไร เพื่อให้ประกันบำนาญที่ "สุดคุ้ม" กลับคืนมาได้
โดยการที่จะทำให้ท่านได้ประกันบำนาญสุดคุ้มกลับคืนมานั้น ทาง BLA จะจำเป็นต้องพิจารณาถึงปัจจัยต่างๆ ที่ส่งผลต่อ เบี้ยประกันบำนาญ ซึ่งจำเป็นต้องปรับปัจจัยเหล่านี้ให้เหมาะสมต่อ
- อุดมการณ์ที่บริษัทเลือกให้มีในประกันบำนาญของตนเองเสมอ
- จุดยืนที่บริษัทยึดมั่นในหน้าที่จริง ๆ ของประกันบำนาญ
- เบี้ยประกันต้องแข่งขันในตลาดได้ และทำให้ผู้ทำประกันได้รับบำนาญมากขึ้น
ซึ่งเป็นโจทย์ใหญ่ที่ทาง BLA ได้หาทางจัดการและตัดสินใจเลือกออกมาในรูปแบบ 7 ปัจจัยสำคัญดังต่อไปนี้
ระยะเวลารับบำนาญเป็นปัจจัยสำคัญที่ทำให้ทั้ง บริษัทประกัน และ ผู้สนใจประกันบำนาญ ตัดสินใจเลือกประกันบำนาญได้ค่อนข้างยาก ซึ่งการจะตัดสินใจในปัจจัยนี้ได้ จำเป็นต้องพิจารณาตารางข้อมูลดังต่อไปนี้
ตารางการรับบำนาญอายุ 60-85

ตารางการรับบำนาญอายุ 60-99

จากตารางจะเห็นได้ว่าหากรับบำนาญต่อปีเท่ากัน ระยะเวลารับบำนาญจะส่งผลต่อเบี้ยประกันบำนาญโดยตรง คือ แบบที่รับบำนาญอายุ 60-85 ปี จะมีเบี้ยประกันที่ "น้อยกว่า" แบบที่รับบำนาญอายุ 60-99 ปี เพราะ บริษัทประกันสามารถลดความเสี่ยงที่ต้องจ่ายบำนาญระยะยาวลงได้ (โดยเฉพาะในปัจจุบันที่ประเทศไทยได้ก้าวเข้าสู่ วิกฤตอายุยืน 100 ปีที่กำลังกดดันกองทุนบำนาญ “KKPS”)
และเมื่อความเสี่ยงน้อยลง บริษัทก็จะสามารถลดเบี้ยประกัน หรือ เพิ่มการจ่ายบำนาญต่อปีให้สูงขึ้นได้ ซึ่งเป็นผลดีในแง่การตลาด เพราะ คนส่วนใหญ่มักเชื่อว่าตนเองจะมีอายุขัยน้อยกว่า 85 ปี จึงมองข้ามไปว่าถ้าหากอายุยืน บำนาญรวมของแบบรับบำนาญถึงอายุ 99 ปี จะมากกว่ารับบำนาญถึงอายุ 85 ปี ได้ถึงกว่า 40%
อย่างไรก็ตามทาง BLA มองว่าการใช้ปัจจัยให้บำนาญสั้นในการลดเบี้ยประกันลง จะทำให้ประกันบำนาญมีปัญหาแบบเดียวกับเครื่องมือการลงทุนอย่างกองทุนรวม ที่อัตราความอยู่รอดของกองทุนรวมหลังอายุ 85 ปี จะลดลงมาก และอาจเหลืออัตรารอดไม่ถึง 25% จนมีความเสี่ยงสูงที่กองทุนรวมจะหมดเงินไปก่อนสิ้นอายุขัย
ด้วยเหตุนี้เอง BLA จึงเลือกให้ประกันบำนาญของตนเองจ่ายบำนาญจนถึงอายุ 99 ปี มาตลอด (ในแบบประกันบำนาญใหม่นี้ก็เช่นกัน) เพื่อเป็นการรับรองรายได้ให้ได้นานที่สุด และสร้าง Peace of Mind ในตอนเกษียณได้จริงๆ ทำให้ในส่วนของปรับเบี้ยให้ลดลง BLA จะมองไปที่ปัจจัยอื่นมากกว่าที่จะเป็นปัจจัยนี้
หมายเหตุ : กราฟด้านล่างจะเป็นการจำลอง Monte Carlo Simulation จำนวน 1,000 ครั้ง เพื่อให้ได้อัตราความอยู่รอดของกองทุนรวมแบบ Multi-Portfolio 3 พอร์ต ที่แบ่งพอร์ตโดยใช้ Time Segmentation ออกเป็น 3 ช่วงอายุ ทำให้มีทั้งความทนต่อความผันผวนและให้ผลตอบแทนได้สูง โดยพอร์ตที่กำลังใช้งานจะเป็นความเสี่ยงต่ำ ในขณะที่พอร์ตยังไม่ถึงเวลาใช้งานจะเป็นพอร์ตที่เสี่ยงสูง

- ถึงแม้ใช้กลยุทธการลงทุนรูปแบบนี้ แต่จากกราฟหากต้องการใช้เงินตั้งแต่อายุ 60-98 ปี รวมทั้งหมด 793 ล้านบาท อัตราความอยู่รอดกองทุนจะเริ่มลดลงต่ำกว่า 100% ตั้งแต่อายุ 71-82 ปี ตามเงิน ณ วันเกษียณที่มี 213 - 327 ล้านบาทตามลำดับ ในสถานการณ์ที่ตอนเกษียณตลาดการลงทุนเป็นขาลงติดต่อกัน 3 ปี
- นั่นหมายความว่า การคำนวณเตรียมเงินกองทุนเกษียณแม้จะใช้วิธี Time Segmentation แล้วก็ตาม แต่เงินที่คำนวณว่าต้องมี ณ วันที่เกษียณนั้น ก็ไม่ได้การันตีว่าจะเพียงพอจนถึงอายุ 99 ปีได้ หรือหากได้ก็มีเปอร์เซ็นต์อยู่รอดที่น้อยมาก ถ้าไม่มีการปรับการใช้จ่ายต่อปีตามสภาพตลาดการลงทุน
เป็นอีกปัจจัยสำคัญที่ ผู้สนใจประกันบำนาญ จำเป็นต้องตั้งข้อสังเกตุ และเข้าใจที่มาที่ไปของการที่บริษัทประกันจะเลือกให้บำนาญคงที่ หรือ บำนาญเพิ่มขึ้นตามอายุ ดังตารางการรับบำนาญดังต่อไปนี้ (ปัจจุบันยังไม่มีแบบประกันบำนาญใดที่ให้เพิ่มตามอายุแล้วสามารถให้บำนาญได้เกินอายุ 90-95 ปี)
ตารางการรับบำนาญแบบคงที่

ตารางการรับบำนาญแบบเพิ่มขึ้น

จากตารางจะเห็นได้ว่า แบบที่รับบำนาญคงที่จะให้บำนาญต่อปีได้ "มากกว่า" แบบที่รับบำนาญทยอยเพิ่มขึ้นตามอายุในช่วงแรก ก่อนที่แบบรับบำนาญทยอยเพิ่มขึ้นจะให้บำนาญต่อปีได้มากกว่าในช่วงหลัง และสามารถให้บำนาญสะสมได้มากกว่าแบบรับบำนาญคงที่ในช่วงอายุ 85-92 ปี หลังจากนั้นแบบรับบำนาญคงที่จะกลับมามีบำนาญสะสมมากกว่าอีกครั้งตอนอายุ 93-99 ปี เพราะยังคงให้บำนาญได้ต่อไปไม่ได้จบที่อายุ 90 ปีเท่านั้น
ซึ่งโดยปกติแล้วบริษัทประกันจะชอบแบบที่รับบำนาญทยอยเพิ่มขึ้นตามอายุมากกว่าแบบรับบำนาญคงที่ ด้วยเพราะ มีความเสี่ยงเรื่องการลงทุนน้อยกว่า เนื่องจากบริษัทมีระยะเวลาให้เงินลงทุนได้เติบโตนานกว่า จากการจ่ายบำนาญน้อยๆ ในช่วงแรก ก่อนไปจ่ายมากๆ ในช่วงหลังที่เงินได้เติบโตไปมากแล้ว
แม้ในเชิงตัวเลขแล้วประกันบำนาญแบบบำนาญเพิ่มตามอายุจะมีระยะเวลาคืนทุนที่นานกว่า อัตราผลตอบแทน IRR ที่น้อยกว่า และ หากนำบำนาญไปใช้ชำระเบี้ยประกันสุขภาพ แบบบำนาญเพิ่มตามอายุจะใช้เงินมากกว่าแบบบำนาญคงที่ ดังตัวอย่างรูปด้านล่างก็ตาม


ทั้งนี้ด้วยเหตุที่ทาง BLA มักเลือกความคุ้มค่าเชิงตัวเลขมากกว่าเชิงการตลาด จึงทำให้ทุกแบบประกันบำนาญที่ผ่านมา รวมถึงแบบใหม่นี้ ทาง BLA จะเลือกเน้นที่จ่ายบำนาญคงที่เป็นหลัก ซึ่งช่วยให้เบี้ยประกันสามารถลดลงได้ แถมได้รับบำนาญรวมมากกว่าทั้งในระยะสั้นและระยะยาว
รวมถึง แบบบำนาญคงที่ยังสามารถตัดสินใจได้ว่าจะจัดการกับเงินเฟ้อด้วยวิธีที่ต้องการเองได้ ระหว่างการเก็บเงินเองบางส่วนเมื่อได้รับบำนาญแบบคงที่มา และ/หรือ ใช้เครื่องมือการลงทุนอย่างกองทุนรวม ในการแก้ไขปัญหาเงินเฟ้อ แทนการใช้ประกันบำนาญแบบรับบำนาญเพิ่มตามอายุที่จะต้องใช้เงินมากกว่า
เป็นอีกหนึ่งปัจจัยที่ปัจจุบันส่งผลอย่างมากต่ออัตราผลตอบแทน IRR ของแบบประกันบำนาญ ดังกราฟเปรียบเทียบ IRR แต่ละอายุเริ่มทำประกันบำนาญ ในระยะเวลาการชำระเบี้ย 5 ปี 10 ปี และจนถึงอายุ 60 ปี ดังต่อไปนี้

จากกราฟอัตราผลตอบแทน IRR จะเห็นได้ว่า BLA บำนาญ 600 ให้ IRR ที่ใกล้เคียงกันไม่ว่าจะเป็นแบบชำระเบี้ยระยะสั้นหรือระยะยาว ในขณะที่ BLA บำนาญ 99 ที่เกิดขึ้นมาแทนภายหลังในสภาวะดอกเบี้ยนโยบายขาลงลึก จะมีการแก้ไขให้แยกกันชัดเจนว่าแบบชำระเบี้ยระยะยาวจะให้ IRR ที่สูงกว่าแบบชำระเบี้ยระยะสั้น
เนื่องจาก การชำระเบี้ยแบบระยะสั้นจะทำให้บริษัทประกันรับความเสี่ยงของดอกเบี้ยนโยบายมากกว่า เพราะบริษัทประกันไม่สามารถกระจายความผันผวนของดอกเบี้ยนโยบายโดยใช้ระยะเวลาที่นานหลายปีช่วยได้
ตัวอย่าง : ประกันบำนาญให้ IRR ที่ 3% ต่อปี
- โดยหากทำประกันบำนาญ 99/5 แล้วช่วงนั้นดอกเบี้ยนโยบายเฉลี่ย 5 ปีได้เพียง 2% ก็จะทำให้บริษัทประกันรับความเสี่ยงการลงทุนมากขึ้นทันที หากยังคงให้ IRR 3% กับการชำระเบี้ยแบบ 5 ปีนี้อยู่
- แต่หากทำประกันบำนาญ 99/60 แล้วดอกเบี้ยนโยบายเฉลี่ยนาน 30 ปี (จนถึงอายุ 60) ได้ถึง 4% ก็จะทำให้บริษัทเสี่ยงลดลงมาก และสามารถให้ IRR ที่สูงขึ้นเป็น 3.5% ได้ สำหรับชำระเบี้ยจนถึงอายุ 60 ปี
- ดังนั้นจะเห็นว่าการชำระเบี้ยระยะยาวจะช่วยลดความเสี่ยงดอกเบี้ยนโยบายให้กับบริษัทได้ และเป็นที่มาที่ทำให้แบบบำนาญ 99/60 บริษัทสามารถให้ IRR ที่สูงกว่าแบบบำนาญ 99/5 ในปัจจุบันได้นั่นเอง
ด้วยเหตุผลนี้เมื่อทาง BLA มีข้อมูลสถิติแนวโน้มของดอกเบี้ยนโยบายมากขึ้น และพบว่ายากที่ดอกเบี้ยจะกลับมาสูงได้เหมือนเดิมในเวลาอันสั้น ทาง BLA จึงตัดสินใจว่า ประกันบำนาญของ BLA ต่อๆ ไป จำเป็นต้องให้ IRR ที่ลดลงกับแบบที่ชำระเบี้ยสั้นโดยอาจให้ไม่ถึง 3% และให้ IRR ที่สูงขึ้นกับแบบชำระเบี้ยยาวที่สามารถสูงเกิน 3% ได้
ที่สำคัญทาง BLA ยังมองว่า การชำระเบี้ยระยะยาวจะเป็นผลดีต่อผู้ทำประกันได้เช่นกัน เนื่องจากเป็นการฝึกวินัยในการออมเกษียณตั้งแต่ในวัยทำงานด้วยเงินจำนวนไม่มากจนเกินไป และ ยังทำให้ไม่เสียโอกาสกับการแบ่งเงินไปลงทุนอย่างอื่นร่วมด้วยที่สามารถให้ผลตอบแทนมากกว่า เช่น กองทุนรวม RMF เป็นต้น
อย่างไรก็ตามแบบชำระเบี้ยระยะสั้นทาง BLA ก็ยังคงมีอยู่ เพื่อเป็นทางเลือกการสร้างรายได้ประจำปลอดภาษีให้กับท่านที่เริ่มทำประกันบำนาญในตอนใกล้เกษียณ โดย BLA เองก็พยายามหาปัจจัยอื่นในการดัน IRR ของแบบชำระเบี้ยสั้นให้มาอยู่ที่ 3% ให้ได้ (ซึ่ง BLA บำนาญ 99 ของเดิมไม่สามารถทำได้)
ต่อเนื่องจากปัจจัยก่อนหน้าที่นอกจาก IRR จะขึ้นอยู่กับ ระยะเวลาการชำระเบี้ยแล้ว ตัว IRR เองก็ยังขึ้นอยู่กับอายุที่เริ่มทำประกันบำนาญด้วย ดังกราฟเปรียบเทียบ IRR แต่ละอายุเริ่มทำประกันบำนาญ ในระยะเวลาการชำระเบี้ย 5 ปี 10 ปี และจนถึงอายุ 60 ปี ดังต่อไปนี้

จากกราฟจะเห็นได้ว่า IRR ในสมัย BLA บำนาญ 600 นั้น ไม่ว่าจะเลือกทำประกันบำนาญตอนอายุเท่าใด อัตราผลตอบแทน IRR ที่ได้จะไม่แตกต่างกันมากนัก
แต่เมื่อถึงยุคที่คนมีอายุขัยนานมากขึ้น และ ดอกเบี้ยนโยบายมักเป็นขาลงที่ลงลึกมากกว่าเดิม ทั้งยังใช้เวลานานกว่าที่จะกลับมาเป็นขาขึ้น (ที่เมื่อขึ้นแล้วก็ขึ้นไม่สูงมากและขึ้นไม่นาน)
ทั้งหมดนี้ล้วนทำให้ BLA บำนาญ 99 ที่มาแทนที่ ได้มีการปรับค่าเบี้ยประกันบำนาญให้สูงขึ้นมากตามอายุเริ่มทำประกันที่มากขึ้น ซึ่งจากกราฟจะเห็นได้ว่า IRR จะเริ่มลดลงอย่างชัดเจน หากทำประกันบำนาญภายหลังอายุ 45 ปีเป็นต้นไป
เนื่องด้วยบริษัทมีความเสี่ยงจากทั้ง
- ระยะเวลาที่จะให้เงินเติบโตได้น้อยลงตามอายุที่มากขึ้น
- ระยะเวลาที่จะลดความผันผวนของดอกเบี้ยนโยบายน้อยกว่า 15 ปี ก่อนเริ่มจ่ายบำนาญตอนอายุ 60
ทั้งหมดนี้เองทำให้แบบประกันบำนาญของ BLA จึงต้องมี IRR ที่ลดลงตามอายุเริ่มทำประกันที่มากขึ้นตามความเสี่ยงที่สูงขึ้นเช่นกัน เพื่อไม่ให้บริษัทรับความเสี่ยงเหล่านี้มากเกินไป และส่งผลกระทบต่อความมั่นคงของบริษัทในระยะยาวที่ต้องจ่ายบำนาญตามสัญญาให้ได้

บางแบบประกันบำนาญจะให้ความคุ้มครองการเสียชีวิตก่อนรับบำนาญที่สูงกว่าเบี้ยปีแรกหลัก 10 เท่ามาร่วมด้วย เนื่องด้วยค่าประกันชีวิตช่วงอายุก่อนเกษียณจะไม่สูงมากนัก บริษัทประกันจึงมักเลือกที่จะคุ้มครองชีวิตเพิ่มขึ้นมาเพื่อให้แบบประกันบำนาญมีจุดแตกต่างมากขึ้น แทนที่จะลดเบี้ยประกันแล้วสู้ที่ราคาอย่างเดียว
รวมถึงบางแบบประกันบำนาญอาจมีอนุสัญญายกเว้นการชำระเบี้ยกรณีทุพพลภาพสิ้นเชิงถาวรให้ด้วย คือ ไม่ต้องชำระเบี้ยที่เหลือแต่ยังคงจะได้รับบำนาญเหมือนเดิม เพราะค่าประกันทุพพลภาพถาวรค่อนข้างน้อยมากในอายุก่อนเกษียณเช่นกัน (แต่บริษัทมักจะจำกัดทุนประกันส่วนนี้ไม่ให้สูงเกินที่กำหนด)
อย่างไรก็ตามประกันบำนาญของ BLA จะไม่ได้ให้ความคุ้มครองชีวิตที่สูงแบบนี้ รวมถึงไม่ได้ให้ความคุ้มครองยกเว้นการชำระเบี้ยหากทุพพลภาพถาวร เนื่องจากมองว่ามีเครื่องมืออย่าง ประกันชีวิต ประกันทุพพลภาพ โดยตรงของ BLA ที่สามารถทำหน้าที่นี้ได้ดีกว่าในราคาที่ประหยัดกว่าอยู่แล้ว
จึงทำให้ทาง BLA ตัดสินใจที่จะตัดฟีเจอร์เสริมเหล่านี้ออกในทุกแบบประกันบำนาญของตนเองรวมถึงในแบบใหม่ และ โฟกัสไปที่ผลตอบแทนของประกันบำนาญเป็นหลัก โดยหากเสียชีวิตก่อนรับบำนาญจะได้รับเงินคืนที่ 110% ของเบี้ยสะสมทั้งหมด หรือ มูลค่าเงินเวนคืน ขึ้นอยู่กับอะไรสูงกว่า
ที่สำคัญการที่ BLA เลือกทำแบบนี้ ผู้ทำประกันจะไม่ต้องแถลงสุขภาพใด ๆ ในตอนสมัคร หรือ แม้เป็นหรือเคยเป็นโรคที่ทำให้ไม่สามารถทำประกันชีวิตได้ ก็จะยังคงสามารถทำประกันบำนาญของ BLA ได้อยู่

หากโชคร้ายเสียชีวิตเร็วหลังรับบำนาญไม่นาน เป็นปัจจัยสำคัญที่มักทำให้เกิดข้อโต้แย้ง "ประกันบำนาญทำให้ขาดทุน" ขึ้นมา ซึ่งจะแตกต่างกับปัจจัยเสียชีวิตก่อนรับบำนาญที่แบบประกันบำนาญส่วนใหญ่จะจ่ายเบี้ยคืนให้กับผู้รับประโยชน์ที่ระบุไว้ในกรมธรรม์ไม่น้อยกว่าเบี้ยประกันที่ชำระมา
แต่การเสียชีวิตภายหลังรับบำนาญนั้นจะแตกต่างออกไป เพราะเหมือนเป็นการบังคับให้บริษัทต้องขายสินทรัพย์ที่ลงทุนไปแล้วทั้งหมดของผู้ทำประกันในทีเดียวทันที จากที่ได้ดำเนินการให้เป็นการทยอยขายออกมาเพื่อจ่ายบำนาญไปแล้ว ซึ่งจะเป็นการเพิ่มความเสี่ยงขาดทุนให้กับบริษัทพอสมควร โดยเฉพาะช่วงดอกเบี้ยขาลง
ทำให้จากบทความวิธีเลือกประกันบำนาญ จะมีการคืนเงินหากเสียชีวิตหลังรับบำนาญอยู่ 2 แบบหลัก คือ
- 1. คืนมูลค่าปัจจุบันของบำนาญที่เหลือตามระยะเวลาการันตีให้บำนาญ 10-15 ปี ซึ่งเมื่อนำมูลค่าบำนาญในอนาคตแปลงย้อนขึ้นมาเป็นมูลค่าในปัจจุบัน เงินบำนาญจริงที่ได้ย่อมลดลง และเป็นที่มาที่ทำให้ผู้ทำประกันขาดทุน เพราะได้รับบำนาญน้อยกว่าเบี้ยที่ชำระไป
- 2. คืนเบี้ยทั้งหมดหักด้วยบำนาญที่ได้รับไปแล้ว ซึ่งการคืนเงินแบบนี้จะไม่ทำให้ขาดทุนแน่นอน แต่บริษัทประกันต้องยอมแบกรับความเสี่ยงเพิ่มขึ้น
ซึ่งการเลือกแบบที่ 1 นั้นจะทำให้บริษัทเสี่ยงน้อยลง โดยเฉพาะหากระยะเวลาการันตีให้บำนาญมีเพียง 10 ปีเท่านั้น และบริษัทจะเสี่ยงน้อยลงไปอีก หากผู้ทำประกันเริ่มทำประกันบำนาญตอนอายุมากแล้ว ที่เบี้ยประกันสูงมาก ซึ่งหากผู้ทำประกันอายุสั้นก็จะขาดทุนเบี้ยหนักมากขึ้นไปอีกได้ (กลายเป็นกำไรของบริษัท)
อย่างไรก็ตามแบบประกันบำนาญลักษณะนี้มักจะชดเชยความเสี่ยงการขาดทุนของผู้ทำประกันให้โดยการเพิ่ม IRR ให้สูงขึ้นหากทำประกันตอนอายุมากแทน
ในขณะที่ทางเลือกที่ 2 ซึ่งเป็นทางเลือกที่ BLA ตัดสินใจเลือก เพราะไม่ต้องการให้เกิดการขาดทุนกับผู้ทำประกันบำนาญของ BLA ซึ่งย่อมทำให้เบี้ยประกันสูงขึ้น เพราะบริษัทต้องรับความเสี่ยงมากกว่าการคืนเงินในแบบที่ 1 อย่างมาก
แต่อย่างไรแล้ว BLA มองว่าการเดิมพันการขาดทุนด้วยชีวิตของผู้ทำประกันนั้น ไม่น่าจะดีกับผู้รับประโยชน์ตามกรมธรรม์ที่โชคร้ายสูญเสียคนที่รักไปแล้ว ยังต้องมารู้ว่าเกิดการขาดทุนจากประกันบำนาญซ้ำเข้าไปอีก ดังนั้นแบบประกันบำนาญของ BLA จึงขอเลือกการเดิมพันอื่นแทน การเดิมพัน การขาดทุน กับ ชีวิตผู้ทำประกัน

เป็นอีกหนึ่งปัจจัยที่อาจเป็นทางออกให้กับข้อจำกัดของผลตอบแทนประกันบำนาญได้ ซึ่ง BLA ไม่เคยใช้ปัจจัยนี้มาก่อนในทุกแบบประกันบำนาญของตนเอง
แต่ด้วยดอกเบี้ยนโยบายที่มักเป็นขาลงมากกว่าขาขึ้น และ การที่ถูก คปภ. จำกัดให้ลงทุนเสี่ยงที่สุดได้เพียงตราสารหนี้เท่านั้น ได้กลายเป็นความเสี่ยงที่สูงของบริษัท ซึ่งส่งผลให้แบบประกันบำนาญมีความอ่อนไหวต่อดอกเบี้ยนโยบายอย่างมาก และ พร้อมปิดตัวลงตามดอกเบี้ยนโยบายขาลงได้ง่าย
ทางออกหนึ่งที่บริษัทมองว่าพอเป็นไปได้คือ การแบ่งไปลงทุนในสินทรัพย์ที่มีความเสี่ยงสูงขึ้นด้วย อย่างเช่น ตลาดหุ้น ที่มักจะให้ผลตอบแทนสวนทางกับตราสารหนี้หรือดอกเบี้ยนโยบาย โดยเมื่อดอกเบี้ยนโยบายลดลง ตลาดหุ้นมักจะขึ้นแทน หรือ ถ้าดอกเบี้ยนโยบายขึ้นก็สามารถลดสัดส่วนการลงทุนในตลาดหุ้นลงได้
วิธีนี้อาจลดการปิดแบบประกันบำนาญ หรือ อย่างน้อยสามารถที่จะยืดระยะเวลาการปิดออกไปให้นานขึ้นได้ อย่างไรก็ตามแม้ทาง คปภ. จะอนุญาตให้พอร์ตของประกันบำนาญลงทุนในตลาดหุ้นได้ แต่ก็ต้องไม่เกิน 20% ของพอร์ต และต้องมีเงินปันผลตามผลตอบแทนที่ได้หลังหักค่าใช้จ่ายมาให้กับผู้ทำประกันร่วมด้วย (สัดส่วนเงินปันผลที่ได้ขึ้นอยู่กับทุนประกันที่ทำ)
ทั้งนี้ตามเงื่อนไขลดหย่อนภาษีของประกันบำนาญ จะไม่สามารถมีเงินคืนออกมาในช่วงก่อนเกษียณได้ ไม่ว่าจะเป็นในรูปแบบใด ๆ ก็ตาม BLA จึงตัดสินใจให้เงินปันผลที่ผู้ทำประกันได้จากประกันบำนาญ จะถูกฝากกับบริษัทต่อไป (ได้ดอกเบี้ยตามดอกเบี้ยนโยบายปีนั้นๆ ทบต้นไปเรื่อยๆ)
และเมื่อถึงอายุ 59 ปี (ก่อนเกษียณ 1 ปี) BLA จะนำเงินปันผลทั้งหมดของผู้ทำประกัน มาทำประบำนาญแบบชำระเบี้ย 1 ปี ให้บำนาญอายุ 60-99 ปี โดยอัตโนมัติ และเรียกบำนาญที่ได้เพิ่มแบบนี้ว่า บำนาญเพิ่มพิเศษจากเงินปันผล

นี่จึงเป็นวิธีที่ทาง BLA ได้นำมาปรับใช้กับประกันบำนาญแบบใหม่ของตนเอง เพื่อลดความอ่อนไหวต่อดอกเบี้ยนโยบายขาลง และ ยังสามารถเพิ่มบำนาญที่ให้กับผู้ทำประกันได้มากขึ้น ตามผลตอบแทนการลงทุนที่ได้ของพอร์ตประกันบำนาญแบบมีเงินปันผล
เรียกได้ว่าวิธีที่ทาง BLA ตัดสินใจเลือก เป็นการเพิ่มผลตอบแทนของประกันบำนาญวิธีหนึ่ง ที่ไม่ใช่การเดิมพันด้วยอายุขัยที่สั้นของผู้ทำประกัน แต่เดิมพันดด้วยการลงทุนว่าจะได้กำไรน้อยหรือกำไรมากขึ้นนั่นเอง
สรุปการดำเนินการกับปัจจัยทั้ง 7 ของ BLA


- อุดมการณ์ที่บริษัทเลือกให้มีในประกันบำนาญของตนเองเสมอ
- ปัจจัย 6 : ต้องไม่ขาดทุนหากจากไปเร็ว "หลัง" รับบำนาญ
- จุดยืนที่บริษัทยึดมั่นในหน้าที่จริง ๆ ของประกันบำนาญ
- ปัจจัย 1 : ต้องให้ประกันบำนาญรับรองรายได้ประจำให้ได้นานที่สุด หรือ จนถึงอายุ 99 ปี
- เบี้ยประกันต้องแข่งขันในตลาดได้ และทำให้ผู้ทำประกันได้รับบำนาญมากขึ้น
- ปัจจัย 2 : เพิ่ม IRR โดยเลือกให้บำนาญแบบ "คงที่" ที่รับบำนาญสูงตั้งแต่แรก
- ปัจจัย 3 : เพิ่ม IRR โดยเฉพาะแบบชำระเบี้ยถึงอายุ 60 ที่กระจายความเสี่ยงได้สูง
- ปัจจัย 4 : เพิ่ม IRR โดยทำประกันบำนาญก่อนอายุ 45 ที่มีระยะเวลากระจายความเสี่ยงที่ดี
- ปัจจัย 5 : เพิ่ม IRR โดยเน้นคืนเงินไม่น้อยกว่าเบี้ยหากเสียชีวิต "ก่อน" รับบำนาญ
- ปัจจัย 7 : เพิ่ม IRR โดยเพิ่มสัดส่วนการลงทุนที่เสี่ยงสูงขึ้นกว่าตราสารหนี้อย่างเดียว
และนี้คือ การตัดสินใจครั้งสำคัญ เพื่อที่จะทำให้ประกันบำนาญตัวใหม่ของ BLA กลับมาแข่งขันในตลาดประกันบำนาญได้อย่างเต็มที่อีกครั้ง ซึ่งผลลัพธ์ที่ได้นั้นน่าสนใจอย่างมาก ดังต่อไปนี้..
ผลลัพธ์ที่ได้ ประกันบำนาญ "BLA Happy Pension แบบมีเงินปันผล"

หลังจากเลือกปัจจัยเสาหลักทั้ง 7 ของประกันบำนาญให้เหมาะสม ทาง BLA จึงได้ประกันบำนาญ BLA Happy Pension ออกมาในประมาณกลางปี 2566 (ลูกศรสีแดงเข้ม) พร้อมยกเลิก BLA บำนาญ 99 ทุกแผน

จากราฟจะสังเกตุได้ว่า BLA Happy Pension มาในช่วงที่ดอกเบี้ยนโยบายเป็นช่วงขาขึ้นได้สักพัก และหลังจากปล่อย BLA Happy Pension ออกมาประมาณ 1 ปีกว่า ๆ หรือ ประมาณปลายปี 67 จึงได้มีการปรับปรุงเพิ่มส่วนลดเบี้ยประกันให้สำหรับทุนประกันที่เข้าเกณฑ์ในแผน 99/60 ดังนี้ (แม้ในตอนนั้นดอกเบี้ยนโยบายได้เริ่มวกกลับมาเป็นช่วงขาลงแล้วก็ตาม)
ส่วนลดอัตราเบี้ยประกัน BLA Happy Pension 99/60
นั่นหมายความว่า BLA มีความมั่นใจมากขึ้นกับแนวทางการจัดพอร์ตการลงทุนแบบที่เพิ่มสินทรัพย์เสี่ยงอย่างหุ้นเข้ามา 20% ของพอร์ต ที่สามารถทนต่อสภาวะดอกเบี้ยขาลง กับ มีผลตอบแทนที่น่าพอใจเพียงพอที่จะสามารถให้ส่วนลดเพิ่มเติมได้ และนี้คือ สรุปผลลัพธ์ที่น่าสนใจของ BLA Happy Pension ทั้งหมด 3 ข้อดังต่อไปนี้
1. ผลตอบแทน BLA Happy Pension ที่ดีขึ้นกว่า BLA บำนาญ 99 อย่างชัดเจน
เพื่อสามารถเปรียบเทียบได้ง่ายขึ้นทั้งการเทียบกับ BLA บำนาญ 99 (ดอกเบี้ยนโยบายลงหนัก) และ BLA บำนาญ 600 (ดอกเบี้ยนโยบายขึ้นสูง) จึงจะเปรียบเทียบ BLA Happy Pension ในแง่ของ IRR และ เบี้ยประกันรวมหากต้องการบำนาญปีละ 240,000 บ. (9.6 ล้าน) แต่ละอายุที่เริ่มทำประกันบำนาญของผู้ชาย ดังต่อไปนี้
1.1 BLA Happy Pension 99/5 ชำระเบี้ย 5 ปี

BLA Happy Pension ตัว IRR จะสูงกว่า BLA บำนาญ 99 ในทุกอายุ และถ้าร่วมบำนาญเพิ่มจากเงินปันผล จะทำให้ IRR มีโอกาสสูงใน ระดับ 3% ขึ้นไปได้ ที่สำคัญทำประกันหลังอายุ 45 ปี แม้ IRR ที่ได้จากปันผลจะลดลง แต่ IRR ตัวหลักมีการยกตัวสูงขึ้นเพื่อประคอง IRR ไว้ ไม่ให้ลดต่ำลงเหมือน BLA บำนาญ 99

เมื่อพิจารณาเบี้ยประกันรวมที่ต้องใช้เพื่อให้ได้บำนาญปีละ 240,000 บ. BLA Happy Pension มีเบี้ยรวมน้อยกว่า BLA บำนาญ 99 ทุกอายุ และ หากทำประกันหลังอายุ 45 ปี เบี้ยรวมที่ต้องใช้เพิ่มก็ยังคงประคองตัวไว้ไม่ให้ใช้มากจนเกินไป
ข้อสังเกต : การชำระเบี้ยแบบ 5 ปี จะทำให้บริษัทได้รับเงินก้อนใหญ่มาบังคับลงทุนระยะสั้นในทันทีไม่ว่าสภาวะดอกเบี้ยนโยบายตอนนั้นจะเป็นอย่างไร จึงทำให้แบบนี้มักจะให้ IRR ที่สูงมากไม่ได้ด้วยความเสี่ยงที่มากกว่า อย่างไรก็ตามเงินก้อนใหญ่นี้มีเวลานานพอให้ได้เติบโต ผลตอบแทนจากที่ได้จากเงินปันผลจะมีโอกาสเพิ่ม IRR ให้สูงขึ้นมาได้อย่างชัดเจนกว่าการชำระเบี้ยแบบ 10 ปี หรือถึงอายุ 60 ปี
1.2 BLA Happy Pension 99/10 ชำระเบี้ย 10 ปี

BLA Happy Pension ชำระเบี้ย 10 ปี ตัว IRR จะสูงกว่า BLA บำนาญ 99 ในทุกอายุเช่นกัน และถ้าร่วมบำนาญเพิ่มจากเงินปันผล จะทำให้ IRR มีโอกาสสูงใน ระดับ 3% ขึ้นไปได้ แม้หากทำประกันหลังอายุ 45 ปี IRR ตัวหลักยังมีการประคองตัวไว้ ไม่ให้ลดต่ำลงมาก

เบี้ยรวมที่ต้องใช้เพื่อให้ได้บำนาญปีละ 240,000 บ. BLA Happy Pension ชำระเบี้ย 10 ปี มีเบี้ยรวมน้อยกว่า BLA บำนาญ 99 และหากทำประกันหลังอายุ 45 ปี เบี้ยรวมที่ต้องใช้เพิ่มก็ยังคงประคองตัวไว้เช่นกัน
ข้อสังเกต : การชำระเบี้ยแบบ 10 ปี จะทำให้บริษัทได้รับเงินก้อนมาทยอยลงทุนซึ่งกระจายความเสี่ยงได้มากกว่าการชำระเบี้ยแบบ 5 ปี จึงทำให้สามารถให้ IRR ที่สูงขึ้นได้ตามความเสี่ยงที่ลดลง อย่างไรก็ตามด้วยเงินก้อนใหญ่ที่ลดลง เงินที่เติบโตตามเวลาจึงน้อยลงด้วย ผลตอบแทนที่ได้จากเงินปันผลจึงย่อมลดลงกว่าแบบชำระเบี้ย 5 ปี
1.3 BLA Happy Pension 99/60 ชำระเบี้ยถึงอายุ 60

BLA Happy Pension ชำระเบี้ยถึงอายุ 60 ปี ตัว IRR จะสูงกว่า BLA บำนาญ 99 ในทุกอายุอย่างมาก และสูงกว่าแบบชำระเบี้ย 5,10 ปี โดย IRR มีโอกาสสูงใน ระดับ 3.5% ขึ้นไปได้โดยเฉพาะเมื่อรวมกับบำนาญเพิ่มจากปันผล แต่หากทำประกันหลังอายุ 45 ปี ตัว IRR จะเริ่มทยอยลดลงอย่างเห็นได้ชัด

เบี้ยรวมที่ต้องใช้เพื่อให้ได้บำนาญปีละ 240,000 บ. BLA Happy Pension ชำระเบี้ยถึงอายุ 60 ปี มีเบี้ยรวมน้อยกว่า BLA บำนาญ 99 อย่างมาก โดย หากทำประกันหลังอายุ 45 ปี เบี้ยรวมที่ต้องใช้จะเริ่มมีอัตราการเพิ่มที่มากขึ้น
ข้อสังเกต : การชำระเบี้ยถึงอายุ 60 ปี จะทำให้บริษัททยอยรับเงินก้อนเล็กมาลงทุนในทุกปีซึ่งกระจายความเสี่ยงได้มากที่สุด (โดยเฉพาะหากเริ่มทำประกันก่อนอายุ 45 ปี) บริษัทจึงสามารถให้ IRR ได้สูงที่สุด อย่างไรก็ตามด้วยเงินก้อนเล็กกว่า เงินที่เติบโตตามเวลาจึงน้อยลงพอสมควร ทำให้ผลตอบแทนที่ได้จากเงินปันผลย่อมลดลงมากเช่นกัน
2. เปรียบเทียบผลตอบแทน BLA Happy Pension แบบชำระเบี้ย 1, 5,10 ปี,ถึงอายุ 60

อัตราผลตอบแทน IRR ของแบบประกันบำนาญ BLA Happy Pension (คำนวณถึงอายุ 99 ปี)
- 99/60 มี IRR สูงสุดไม่รวมปันผลที่ 3.5% หากรวมปันผลมีโอกาสอยู่ที่ 3.54% ขึ้นไป
- 99/10 มี IRR สูงสุดไม่รวมปันผลที่ 2.9% หากรวมปันผลมีโอกาสอยู่ที่ 3% ขึ้นไป
- 99/5 มี IRR สูงสุดไม่รวมปันผลที่ 2.77% หากรวมปันผลมีโอกาสอยู่ที่ 3% ขึ้นไป
- 99/1 มี IRR สูงสุดไม่รวมปันผลที่ 1.94% หากรวมปันผล IRR คาดหวังอยู่ที่ 2% ขึ้นไป

เบี้ยรวมสำหรับบำนาญปีละ 240,000 บ. อายุ 60-99 ปี รวม 9.6 ล้านบาท (ยังไม่รวมบำนาญเพิ่มจากปันผล)
- 99/60 มีเบี้ยรวมสูงกว่าแบบ 99/10 กับ 99/5 หากเริ่มทำประกันก่อนอายุ 40 ปี
- ในขณะที่แบบ 99/10 กับ 99/5 เบี้ยรวมจะสูงกว่า 99/60 ได้เช่นกันหากเริ่มทำประกันอายุ 40 ปีขึ้นไป
- แบบ 99/10 จะมีเบี้ยรวมที่ใกล้เคียงกับ 99/5 มาก ทำให้แบบ 99/10 จะค่อนข้างน่าสนใจกว่าแบบ 99/5 หากพิจารณาเรื่องสภาพคล่อง
- 99/1 จะมีเบี้ยรวมสูงที่สุดแยกจากทุกแบบชัดเจน
ข้อสังเกต :
- แม้ IRR 99/60 จะมากที่สุด แต่เบี้ยรวมจะไม่ได้น้อยที่สุดเสมอ เนื่องจาก IRR คำนวณจากกระแสเงินเข้า (เบี้ย) กับ กระแสเงินออก (บำนาญ) โดยหากยิ่งใช้เบี้ยต่อปีน้อยรอไม่นานหลังชำระเบี้ยปีสุดท้ายก็ได้รับบำนาญออกมาเลย ก็จะให้ IRR ได้สูงกว่า
- แม้ 99/10 กับ 99/5 จะมีเบี้ยรวมที่น้อยกว่า แต่ด้วย IRR ที่น้อยกว่า ย่อมสะท้อนให้เห็นว่ามีสภาพคล่องของกระแสเงินน้อยกว่า 99/60 หรือ เสมือนต้องล็อคเงินหรือเบี้ยก้อนใหญ่ไว้นานกว่า 99/60 แต่ก็แลกมาด้วยปันผลที่มีโอกาสเติบโตจากเงินก้อนใหญ่ที่ถูกล็อคไว้ได้มากขึ้น
- ดังนั้นหากพิจารณาต้องการให้มีทั้งวินัยการเงิน และ สภาพคล่องในแต่ละปี ไม่ต้องการลงเงินก้อนใหญ่ในทีเดียว จะทำให้แบบ 99/60 น่าสนใจที่สุด แต่หากมองว่ายอมลดสภาพคล่องลงระยะเวลา 5 หรือ 10 ปี และลุ้นปันผลที่มีโอกาสให้บำนาญได้มากขึ้น รวมถึงเริ่มทำประกันก่อนอายุ 41 ปี แบบ 99/10 กับ 99/5 จะน่าสนใจ
- ทั้งนี้แบบ 99/1 เป็นแบบที่น่าสนใจน้อยที่สุด เนื่องจากต้องใช้ทั้งเงินก้อนใหญ่ที่สุด และ มีโอกาสถูกล็อคเงินไว้นานที่สุด แต่ทั้ง IRR และ เบี้ยรวม ได้มา ขาดความดึงดูด เสมือนเป็นการส่งสัญญาณชัดเจนว่าบริษัทไม่เน้นรับความเสี่ยงกับการบังคับลงทุนปีเดียวหรือจ่ายเบี้ยปีเดียวของแบบ 99/1 นี้
- การเปรียบเทียบ IRR นี้เป็นการยกตัวอย่างของผู้ชาย ซึ่งจะมี IRR ที่สูงกว่าผู้หญิง ประมาณ 0.3% เนื่องจากผู้หญิงจะมีโอกาสอายุยืนสูงกว่าผู้ชาย อย่างไรก็ตามแนวโน้มของกราฟผู้หญิงจะยังคงเป็นแบบเดียวกับผู้ชาย
3. ผลประโยชน์ที่ผู้ทำประกันไม่ขาดทุนแน่นอน
BLA HAPPY PENSION
คุ้มครองจนอายุครบ 99 ปี หรือกรณีเสียชีวิต
กรณีเสียชีวิตทุกกรณี ก่อนรับบำนาญ
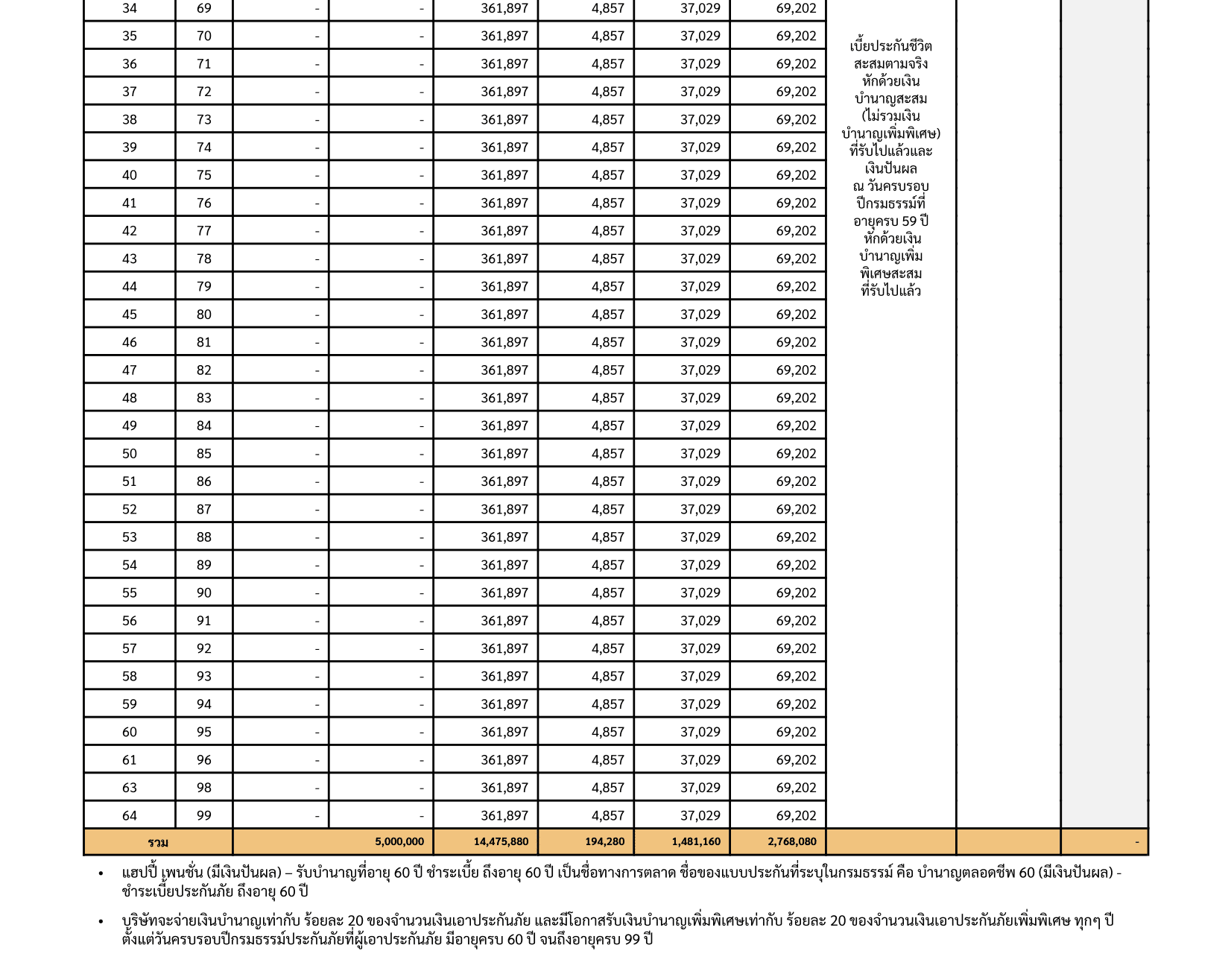
รับเงิน 110% ของเบี้ยประกันสะสมตามจริง หรือ มูลค่าเวนคืนกรมธรรม์ แล้วแต่จำนวนใดจะมากกว่า
กรณีเสียชีวิตทุกกรณี ช่วงรับบำนาญ
เบี้ยประกันสะสมตามจริง หักด้วย เงินบำนาญสะสมที่รับไปแล้ว (ไม่รวมเงินบำนาญเพิ่มพิเศษ) + ยอดเงินปันผล ณ วันครบรอบปีกรมธรรม์ที่อายุครบ 59 ปี
หักด้วย เงินบำนาญเพิ่มพิเศษสะสมที่รับไปแล้ว
กรณีมีชีวิตอยู่จนครบกำหนดสัญญา
รับเงินบำนาญ 20% ของทุนประกัน "ทุกปี" จนกระทั่งอายุครบ 100 ปี
ข้อสังเกต :
- เนื่องจากไม่ได้คุ้มครองชีวิตสูงเกินเบี้ยประกันสะสมมากนัก จึงทำให้ BLA Happy Pension สามารถสมัครทำประกันได้โดยไม่ต้องแถลงสุขภาพใด ๆ
- มูลค่าเงินสด หรือ มูลค่าเวนคืน ในกรมธรรม์ จะสามารถเกินเบี้ยประกันสะสมทั้งหมดได้ โดยใช้ระยะเวลาประมาณ 13-14 ปี ในแบบ 99/5 กับ 99/10 และประมาณ 17 ปีในแบบ 99/60 ขึ้นอยู่กับอายุที่เริ่มทำประกัน
- โดยสามารถกู้มูลค่าเงินสดนี้ออกมาหมุนในยามฉุกเฉินได้ไม่เกิน 90% ของมูลค่าเงินสด ด้วยดอกเบี้ยที่ 4.4% ต่อปี โดยเมื่อมีการทยอยคืนเงินกู้ ระบบจะทำการตัดเงินต้นก่อนตัดดอกเบี้ยเสมอ
เปรียบเทียบ BLA Happy Pension กับประกันบำนาญในตลาดปัจจุบัน 2568 หากรับบำนาญปีละ 240,000 บ. เท่ากัน
เมื่อ ชายอายุ 35 ปี* ต้องการมีบำนาญปีละ 240,000 บ.** (เดือนละ 20,000 บ.) ตั้งแต่อายุ 60 ปีเป็นต้นไป จะได้ผลลัพธ์ทั้ง เบี้ยประกันรวมทั้งหมด*** และ กำไรที่ได้เมื่ออายุยืนจนได้รับบำนาญครบ ของแบบประกันบำนาญต่าง ๆ เทียบกับ BLA ดังต่อไปนี้
หมายเหตุ :
*เป็นเพียงตัวอย่าง โดยเพศอายุที่แตกต่างกันโดยเฉพาะหลังอายุ 45 ปี อาจให้ผลลัพธ์ที่แตกต่างจากนี้ เพราะบางแบบประกันบำนาญยิ่งอายุมากยิ่ง IRR สูงขึ้น ในขณะที่บางแบบ IRR จะลดลง
**การเปรียบเทียบลักษณะนี้ เพื่อให้ยุติธรรมขึ้นกว่าการกำหนดเบี้ยต่อปีที่เท่ากันว่าจะได้รับบำนาญเท่าใด เนื่องจากแต่ละแบบประกันบำนาญอาจไม่ได้มีจำนวนปีชำระเบี้ยที่เท่ากัน
***ข้อมูลเบี้ยทั้งหมดส่วนใหญ่รวบรวมมาจากอินเตอร์เน็ต การยืนยันความถูกต้องของเบี้ยในปัจจุบันควรตรวจสอบกับทางตัวแทนของบริษัทประกันนั้นๆ อีกครั้ง
ประกันบำนาญชำระเบี้ย 5 ปี เริ่มรับบำนาญอายุ 60

ข้อสังเกต :
- แบบชำระเบี้ย 5 ปี BLA จะมีเบี้ยรวมที่สูงกว่า SSL อยู่ที่ 921,040 บ. แต่ BLA ให้บำนาญนานกว่าถึง 14 ปี
- BLA จึงให้บำนาญได้มากกว่า SSL ถึง 3,360,000 บ. (หากนับบำนาญเพิ่มจากปันผลจะมากกว่าอยู่ที่ 4,290,336+ บ.) โดยรับบำนาญจาก BLA อีกเพียง 4 ปี (อายุ 86-90) ก็จะเกินส่วนต่างเบี้ย 921,040 บ. นี้ (แต่หากนับรวมบำนาญปันผลอาจใช้เวลาเพียง 3.5 ปี)
- ดังนั้นการจ่ายเบี้ยเพิ่มขึ้นของ BLA จึงเสมือนการซื้อประกันบำนาญด้วยเบี้ยเพิ่มอีก 921,040 บ. เพื่อแลกกับบำนาญจำนวน 3,360,000 บ. ในช่วงอายุ 86-99 ปี ที่สุขภาพอาจไม่เอื้อให้หารายได้ได้อีกต่อไปแล้ว
ประกันบำนาญชำระเบี้ย 7-10 ปี เริ่มรับบำนาญอายุ 60

ข้อสังเกต :
- แบบชำระเบี้ย 7-10 ปี BLA จะมีเบี้ยรวมที่
- สูงกว่า PLL อยู่ที่ 733,500 บ. แต่ BLA ให้บำนาญนานกว่าถึง 14 ปี
- สูงกว่า AIA อยู่ที่ 143,760 บ. แต่ BLA ให้บำนาญนานกว่าถึง 10 ปี
- ทำให้ BLA ให้บำนาญได้
- มากกว่า PLL อยู่ที่ 3,360,000 บ. (หากนับบำนาญปันผลจะอยู่ที่ 3,979,104+ บ.) โดยรับบำนาญจาก BLA อีกเพียง 3 ปี (อายุ 86-89) ก็จะเกินส่วนต่างเบี้ย 733,500 บ. นี้
- มากกว่า AIA อยู่ที่ 2,160,000 บ. (หากนับบำนาญปันผลจะอยู่ที่ 2,779,104+ บ.) โดยรับบำนาญจาก BLA อีกเพียง 0.6 ปี (อายุ 86) ก็จะเกินส่วนต่างเบี้ย 143,760 บ. นี้
- ดังนั้นการจ่ายเบี้ยเพิ่มของ BLA จึงเสมือนการซื้อประกันบำนาญด้วยเบี้ยที่น้อยกว่าบำนาญที่จะได้หลายล้านบาท ในช่วงอายุ 86-99 ปี หรือ อายุ 91-99 ปี ที่สุขภาพอาจไม่เอื้อให้หารายได้ได้อีกต่อไปแล้ว
ประกันบำนาญชำระเบี้ยถึงอายุครบ 60 ปี (อายุ 59) เริ่มรับบำนาญอายุ 60

ข้อสังเกต :
- แบบชำระเบี้ยถึงอายุ 60 ปี BLA จะมีเบี้ยรวมที่
- สูงกว่า MTL อยู่ที่ 50,375 บ. แต่ BLA ให้บำนาญนานกว่าถึง 14 ปี
- สูงกว่า SSL อยู่ที่ 349,875 บ. แต่ BLA ให้บำนาญนานกว่าถึง 14 ปี
- สูงกว่า PLL อยู่ที่ 217,165 บ. แต่ BLA ให้บำนาญนานกว่าถึง 10 ปี
- น้อยกว่า AIA อยู่ที่ -284,125 บ. และ BLA ยังให้บำนาญนานกว่าถึง 10 ปี
- ทำให้ BLA จึงให้บำนาญได้
- มากกว่า MTL อยู่ที่ 3,360,000 บ. (หากนับบำนาญปันผลจะอยู่ที่ 3,488,832+ บ.) โดยรับบำนาญจาก BLA อีกเพียง 0.2 ปี (อายุ 86) ก็จะเกินส่วนต่างเบี้ย 50,375 บ.
- มากกว่า SSL อยู่ที่ 3,360,000 บ. (หากนับบำนาญปันผลจะอยู่ที่ 3,488,832+ บ.) โดยรับบำนาญจาก BLA อีกเพียง 1.4 ปี (อายุ 86-87) ก็จะเกินส่วนต่างเบี้ย 349,875 บ.
- มากกว่า PLL อยู่ที่ 2,160,000 บ. (หากนับบำนาญปันผลจะอยู่ที่ 2,288,832+ บ.) โดยรับบำนาญจาก BLA อีกเพียง 0.9 ปี (อายุ 86) ก็จะเกินส่วนต่างเบี้ย 217,165 บ.
- มากกว่า AIA อยู่ที่ 2,160,000 บ. (หากนับบำนาญปันผลจะอยู่ที่ 2,288,832+ บ.) โดยที่ BLA จ่ายเบี้ยน้อยกว่าถึง 284,125 บ.
- ดังนั้นการจ่ายเบี้ยเพิ่มของ BLA จึงเสมือนการซื้อประกันบำนาญด้วยเบี้ยที่น้อยกว่าบำนาญที่จะได้หลายล้านบาท ในช่วงอายุ 86-99 ปี หรือ อายุ 91-99 ปี ที่สุขภาพอาจไม่เอื้อให้หารายได้ได้อีกต่อไปแล้ว
จากตัวอย่างจะเห็นได้ว่า BLA Happy Pension กลับมาแข่งขันในตลาดประกันบำนาญได้อีกครั้ง โดยเฉพาะในช่วงอายุ 30-45 ปี ที่เหมาะกับการเริ่มเก็บเงินเกษียณส่วน NEEDs อย่างมีวินัยผ่านประกันบำนาญ (หากรอทำช่วงอายุ 50-55 ปี เบี้ยประกันบำนาญมักจะสูงมาก และใช้เวลานานขึ้นกว่าบำนาญจะเกินเบี้ยทั้งหมด จนสุดท้ายเกิดความลังเลและพลาดการทำประกันบำนาญรับรองรายได้ไป)
ทั้งนี้แม้ BLA Happy Pension จะไม่ได้ดีที่สุดเหมือนตอนสมัย BLA บำนาญ 600 แต่ก็ยังสามารถให้บำนาญรวมทั้งหมดถึงอายุ 99 ปี ด้วยค่าเบี้ยประกันที่น่าสนใจอย่างมากได้ เมื่อเทียบกับแบบประกันบำนาญอื่น ๆ ในตลาดปัจจุบัน
แต่การที่ BLA เลือกยึดมั่นที่จะให้บำนาญถึงอายุ 99 ปี และ เน้นว่าการเสียชีวิตเร็วทั้งก่อนและหลังรับบำนาญต้องไม่ขาดทุน จึงทำให้ BLA Happy Pension มีความอ่อนไหวต่อดอกเบี้ยนโยบายมากกว่าแบบประกันบำนาญอื่นๆ แม้ว่าจะมีการปรับพอร์ตให้มีสินทรัพย์เสี่ยงสูงไม่เกิน 20% แล้วก็ตาม

โดยปลายปี 68 ดอกเบี้ยนโยบายได้ลดลงมาอยู่ที่ 1.5% ซึ่งต่ำกว่าตอนที่เปิดตัว BLA Happy Pension และมีแนวโน้มจะลดลงเหลือ 1.25% ในไม่นานนี้ โดยหากดอกเบี้ยนโยบายยังคงลดลงต่อไป ก็จะมีความเสี่ยงที่ BLA Happy Pension อาจปิดตัวลงได้ที่แนวต้านเดิม ดอกเบี้ยนโยบายที่ 0.75% (ที่ BLA บำนาญ 600 ปิดตัว)
ควรเลือก BLA Happy Pension แผนใด ในแง่สิทธิลดหย่อนภาษี

จะเห็นได้ว่าหากนำสิทธิลดหย่อนภาษีมาเกี่ยวข้องด้วย
- 99/60 มีกำไร (ไม่รวมปันผล) ที่มากที่สุดที่ 7.44 ล้าน พร้อมด้วยสภาพคล่องที่มากกว่า แม้จะใช้สิทธิลดหย่อนไปเพียง 132,635 บ. จากสิทธิ 300,000 บ.ต่อปีก็ตาม (หากใช้มากกว่านี้จะยิ่งได้เงินคืนภาษีรวมที่มากกว่า 99/10 กับ 99/5 อย่างชัดเจนขึ้นเรื่อยๆ)
- 99/10 มีกำไร (ไม่รวมปันผล) รองลงมาที่ 7.43 ล้าน ซึ่งดูแตกต่างกันไม่มาก เนื่องจากใช้สิทธิลดหย่อนประกันชีวิต 100,000 ร่วมด้วย แต่ถ้าใช้สิทธิลดหย่อนประกันบำนาญ 200,000 อย่างเดียวด้วยเบี้ยต่อปี 321,696 จะเกินสิทธิ 121,696 และทำให้กำไรรวมลดลงพอสมควร
- 99/5 มีกำไร (ไม่รวมปันผล) น้อยที่สุดที่ 6.97 ล้าน ทำให้เห็นชัดเจนว่า หากเบี้ยเกินสิทธิลดหย่อนภาษีไปมาก (630,348 - 300,000 = 330,348) กำไรที่ได้เพิ่มจากสิทธินี้ยิ่งลดลงชัดเจน แถมด้วยสภาพคล่องที่ลดลงกว่าแบบอื่นๆ
- อย่างไรก็ตามทั้ง 99/10 กับ 99/5 สามารถชดเชยกำไรที่หายไปจากส่วนที่เกินสิทธิลดหย่อนนี้ได้ด้วย บำนาญเพิ่มจากปันผล ที่มีโอกาสได้รับสูงกว่า 99/60 อย่างชัดเจน ด้วยพลังการเติบโตของเงินก้อนที่ใหญ่กว่า
- ดังนั้นการเลือกระหว่าง 99/5, 99/10 และ 99/60 จึงจำเป็นต้องพิจารณา 7 ปัจจัยเหล่านี้รวมกันก่อนตัดสินใจ
- อายุที่เริ่มทำประกันบำนาญ ยิ่งเริ่มทำเร็วยิ่งมีเวลาลดหย่อนภาษีได้นานกว่า
- ฐานภาษีปัจจุบัน กับ แนวโน้มฐานภาษีในอนาคต
- ระดับสภาพคล่องที่ต้องการ
- เบี้ยที่เกินสิทธิลดหย่อนภาษี
- แนวโน้มเบี้ยหลังอายุ 45 ปี
- แนวโน้มบำนาญเพิ่มจากปันผลหลังอายุ 45 ปี
- แนวโน้มของดอกเบี้ยนโยบาย หากเป็นขาลงการเน้นชำระเบี้ยระยะยาวจะช่วยล็อคผลตอบแทน
สรุปข้อสังเกต :
- BLA Happy Pension 99/60 มีจุดเด่นที่ IRR สูงกว่า ด้วยเพราะ เบี้ยต่อปีของ 99/60 น้อยที่สุด แม้ยังใช้สิทธิลดหย่อนภาษี 300,000 บ. ไม่ครบก็ตาม (ประกันชีวิต 100,000 บ. รวมประกันบำนาญ 200,000 บ.)
- ในขณะที่ BLA Happy Pension 99/5 กับ 99/10 มีจุดเด่นที่มีโอกาสได้บำนาญเพิ่มจากปันผลที่สูงกว่า 99/60 แต่เบี้ยจะเกินสิทธิลดหย่อนภาษีและจำนวนปีลดหย่อนน้อยกว่า
- BLA Happy Pension 99/60 เหมาะกับ
- อายุน้อยกว่า 45-50 ปี ต้องการใช้สิทธิลดหย่อนภาษีไม่ให้เกินสิทธิไปมากต่อเนื่องทุกปี มีฐานภาษีที่สูง ไม่ต้องการทุ่มเงินก้อนใหญ่กับประกันบำนาญอย่างเดียวในแต่ละปี มองว่าปันผลสามารถทดแทนได้ด้วยการลงทุนอื่นอย่าง RMF
- BLA Happy Pension 99/5 เหมาะกับ
- อายุ 25-40 ปี ต้องการจ่ายเบี้ยระยะสั้น เพื่อให้เงินก้อนมีโอกาสเปลี่ยนเป็นบำนาญเพิ่มพิเศษได้สูงที่สุด มีสภาพคล่องเพียงพอ
- BLA Happy Pension 99/10 เหมาะกับ
- คล้ายกับแบบ 99/5 เพียงแต่ต้องการจ่ายเบี้ยระยะยาวขึ้นอีกนิด ทั้งเพื่อสิทธิการลดหย่อนภาษี และ เพื่อเพิ่มสภาพคล่องกับมีเงินเหลือไปลงทุนอย่างอื่นร่วมได้ในปีนั้นๆ
สรุปจุดเด่น BLA Happy Pension ปันผล

จุดเด่น BLA Happy Pension ปันผล
- รับรองการให้บำนาญถึงอายุ 99 ปี ด้วยเบี้ยที่ประหยัดที่สุดแบบหนึ่งในตลาดปัจจุบัน แถมด้วยบำนาญเพิ่มพิเศษจากเงินปันผลสะสม
ประกันบำนาญอื่น
- ในตลาดเริ่มหาประกันบำนาญที่ให้บำนาญถึงอายุ 99 ปี ได้น้อยลงเรื่อยๆ โดยเฉพาะเบี้ยที่ราคาไม่สูงมาก และ มักไม่ได้มีบำนาญเพิ่มพิเศษจากเงินปันผลสะสม
จุดเด่น BLA Happy Pension ปันผล
- ให้บำนาญสูง "คงที่" ตั้งแต่แรก แม้จะมีความเสี่ยงด้านการลงทุนมากกว่า
ประกันบำนาญอื่น
- เริ่มมีการเน้นไปที่บำนาญแบบ "เพิ่มขึ้น" ตามอายุมากขึ้น เพราะความเสี่ยงน้อยกว่า โดยให้บำนาญถึงอายุ 90
จุดเด่น BLA Happy Pension ปันผล
- ไม่ขาดทุนเบี้ย ไม่ว่าจะโชคร้ายเสียชีวิตเร็ว ก่อน หรือ หลัง รับบำนาญ และ ไม่ต้องแถลงสุขภาพตอนสมัคร รับทำประกันได้ไม่ว่า เป็น/เคยเป็น โรคอะไรมาก่อน
ประกันบำนาญอื่น
- บางแบบประกันที่ผลตอบแทนสูง สามารถขาดทุนเบี้ยได้หากจากไปเร็วหลังรับบำนาญ และตอนสมัครอาจต้องมีการแถลงสุขภาพ หรือ อาจถูกขอตรวจสุขภาพได้
ตารางบำนาญ และ ตารางเบี้ยประกัน ตามความต้องการ
ตัวอย่างตารางเบี้ยประกัน BLA Happy Pension จะสามารถแบ่งออกเป็น 2 แบบด้วยกันดังต่อไปนี้เบี้ย
ตารางเบี้ยประกันตามบำนาญที่ต้องการได้ต่อปี
ตารางเบี้ยประกันนี้ ได้จากการกำหนดเงินบำนาญต่อปีที่ต้องการก่อน เริ่มต้นที่ปีละ 120,000 บ. หรือ เดือนละ 10,000 บ. จนถึงปีละ 1,200,000 บ. หรือ เดือนละ 100,000 บ. แล้วจึงคำนวณว่ามีเบี้ยประกันเท่าใด (หากบำนาญที่ต้องการไม่มีในตารางสามารถใช้ตารางเบี้ยของบำนาญปีละ 120,000 บ. ในการคำนวณเทียบหาเบี้ยเบื้องต้นได้)



ตัวอย่างการอ่านตารางเบี้ยประกัน :
- ชายอายุ 40 ปี ต้องการบำนาญปีละ 240,000 ของแบบ 99/60 จะได้ชำระเบี้ยปีละ 181,235 บ. จนถึงอายุครบ 60
- หญิงอายุ 35 ปี ต้องการบำนาญปีละ 120,000 ของแบบ 99/10 จะได้ชำระเบี้ยปีละ 177,738 บ. นาน 10 ปี
ตารางบำนาญที่ได้ตามเบี้ยประกันที่ต้องการต่อปี
ตารางบำนาญที่ได้รับต่อปีนี้ จะกำหนดเบี้ยที่ต้องการชำระ (หรือที่ต้องการลดหย่อนก่อน) ต่อปีก่อน เช่น 50,000 100,000 200,000 และ 300,000 จากนั้นจึงทำการคำนวณว่าด้วยเบี้ยต่อปีเท่านี้ จะได้รับเงินบำนาญต่อปีเท่าใด (รวมถึง บำนาญที่ได้รับเพิ่มจากเงินปันผลสะสมแบบผลตอบแทน 3% และ 4%)



ตัวอย่างการอ่านตารางบำนาญ :
- ชายอายุ 40 ปี ต้องการจ่ายเบี้ยเพื่อลดหย่อนปีละ 200,000 บ. จำนวน 5 ปีของแบบ 99/5 จะทำให้ได้บำนาญตั้งแต่อายุ 60-99 ปีละ 66,223 บ. หรือ 71,435 - 79,006 บ. (หากพอร์ตการลงทุนปันผลได้ผลตอบแทน 3%-4% ต่อปีจนถึงอายุ 59)
- หญิงอายุ 35 ปี ต้องการจ่ายเบี้ยเพื่อลดหย่อนปีละ 100,000 บ. จนถึงอายุ 60 ของแบบ 99/60 จะทำให้ได้บำนาญตั้งแต่อายุ 60-99 ปีละ 165,430 บ. หรือ 167,653 - 182,383 บ. (หากพอร์ตการลงทุนปันผลได้ผลตอบแทน 3%-4% ต่อปีจนถึงอายุ 59)
ตัวอย่างใบเสนอ BLA Happy Pension
นอกจากตารางเบี้ย กับ ตารางบำนาญ แล้ว ยังมีข้อมูล "มูลค่าเงินสด" หรือ "มูลค่าเวนคืน" ในกรมธรรม์ ที่จะสะสมเพิ่มขึ้นเรื่อย ๆ (แต่จะกลายเป็น 0 บ. ทันทีเมื่อเริ่มรับบำนาญ) รวมถึง "มูลค่าความคุ้มครองชีวิตก่อนรับบำนาญ" ที่ 110% ของเบี้ยประกันสะสม


ข้อสังเกต :

- มูลค่าเวนคืนสามารถเกินเบี้ยประกันสะสมได้ รวมถึงสามารถเกิน 110% ของเบี้ยประกันสะสมได้ ซึ่งจะทำให้หากโชคร้ายเสียชีวิตลงในตอนนั้น เงินที่ผู้รับประโยชน์ที่ระบุในกรมธรรม์จะได้รับ คือ มูลค่าเวนคืน เพราะมีมูลค่าสูงที่สุด
- เช่น จากในใบเสนอ ชายอายุ 35 ชำระเบี้ย 2 แสนต่อปี แบบ 99/60
- มูลค่าเวนคืนจะเกินเบี้ยสะสมตอนอายุ 49 ปี (เบี้ยสะสม 3,000,000 มูลค่าเวนคืน 3,045,362)
- มูลค่าเวนคืนจะเกินความคุ้มครองชีวิตก่อนรับบำนาญ หรือ เกิน 110% ของเบี้ยสะสม ตอนอายุ 54 ปี (คุ้มครองชีวิต 4,400,000 มูลค่าเวนคืน 4,425,998) ดังนั้นหากเสียชีวิตได้รับมูลค่าเวนคืน
- มูลค่าเวนคืนนี้สามารถกู้ออกมาหมุนเงินชั่วคราวได้ที่ 90% ของมูลค่าเวนคืน โดยมีดอกเบี้ยที่ต่ำมากคือ 4.4% ต่อปี ทำให้มูลค่าเวนคืนนี้เสมือนเป็นแหล่งเงินสำรองฉุกเฉิน รวมถึงในกรณีที่บางปีชำระเบี้ยเกินระยะเวลาผ่อนผัน 60 วัน ระบบจะทำการกู้กรมธรรม์อัตโนมัติเพื่อชำระเบี้ยแทนให้ก่อนได้ โดยที่กรมธรรม์จะไม่ขาดอายุ และ จะไม่ผิดเงื่อนไขการลดหย่อนภาษีส่วนประกันบำนาญจนเสี่ยงต่อการคืนเงินภาษีพร้อมเบี้ยปรับเงินเพิ่ม
ข้อควรระวัง :
- การไม่ได้ชำระเบี้ยในระยะผ่อนผัน 60 วัน หรือ ไม่มีมูลค่าเวนคืนเพียงพอให้กู้อัตโนมัติชำระเบี้ย หรือ ปล่อยให้กรมธรรม์ขาดอายุ จนเกิดการเปลี่ยนสถานะกรมธรรม์ให้เป็นการใช้เงินสำเร็จโดยอัตโนมัติ (การนำมูลค่าเวนคืนเท่าที่มีมาทำประกันบำนาญแบบ 99/1 ต่อ) หรือ การยกเลิกเวนคืนกรมธรรม์เพื่อนำมูลค่าเวนคืนออกมา จะถือว่าเป็นการผิดเงื่อนไขการลดหย่อนส่วนประกันบำนาญ และต้องแจ้งกับทางสรรพากร เพื่อประเมินภาษีที่ต้องคืนร่วมกับเบี้ยปรับเงินเพิ่ม
อย่างไรก็ตามประกันบำนาญ BLA Happy Pension อาจไม่ได้เหมาะกับทุกคน
โดยเฉพาะหากท่าน
- ต้องการผลตอบแทน IRR มากกว่า 3% ตั้งแต่ตอนอายุ 60 แม้ไม่มีหลักประกันว่าเงินนี้จะอยู่ได้นานถึงอายุ 99 ปี หรือ จะหมดก่อนสิ้นอายุขัยหรือไม่
- ต้องการให้รับรองรายได้ประจำปลอดภาษี หรือ บำนาญ ถึงเพียงอายุ 85-90 ปี ที่ประหยัดเบี้ยประกันได้หลักแสน แลกกับจะไม่ได้รับบำนาญรวมหลักล้านตอนอายุ 86-99 ปี
- ต้องการได้รับบำนาญเร็วตั้งแต่อายุ 55 ปี แม้อาจทำให้ระยะเวลารับบำนาญต้องลดลงเหลือเพียงอายุ 85-90 ปี
- ต้องการได้รับบำนาญแบบทยอย "เพิ่มขึ้น" ตามอายุ แม้บำนาญที่ได้รับมักต้องใช้เวลานานกว่าอายุ 75 ปีขึ้นไป จึงจะเกินเบี้ยทั้งหมดที่ได้จ่ายไป
- ต้องการประกันบำนาญผลตอบแทนสูง IRR 3.5%-4% ชำระเบี้ยสั้น 1-2 ปี แถมให้บำนาญได้ถึงอายุ 99-100 ปี ที่แม้จะเสี่ยงกับบริษัทประกันอย่างมาก แต่มั่นใจในบริษัทประกันว่าความเสี่ยงนี้จะไม่มีทางตกมาถึงผู้ทำประกันได้แน่นอน
- ต้องการบริษัทประกันที่กำลังขยายฐานลูกค้าผ่านประกัน สะสมทรัพย์/บำนาญ ที่ให้ผลตอบแทนสูง โดยไม่จำเป็นต้องเป็นบริษัทที่ได้ผ่านร้อนผ่านหนาวในการบริหารความเสี่ยงมาเป็นเวลานานกว่า 50 ปีขึ้นไป เพราะมั่นใจในสัญญาที่บริษัทต้องทำให้ได้และบริษัทสำรองเงินไว้แล้ว
- ต้องการให้ประกันบำนาญมีความคุ้มครองชีวิตก่อนเกษียณที่สูงกว่าเบี้ยประกันมาก แม้นั้นจะทำให้เบี้ยประกันบำนาญสูงขึ้น หรือ ต้องปรับลดระยะเวลาการให้บำนาญลง หรือ ต้องเพิ่มให้มีโอกาสขาดทุนหากเสียชีวิตเร็วหลังรับบำนาญ ก็ตาม
- ต้องการให้มีเงินคืนออกมาก่อนที่จะรับบำนาญแบบประกันสะสมทรัพย์ด้วย เพราะไม่ได้นำมาลดหย่อนส่วนประกันบำบาญ 200,000 บ. จะลดหย่อนเฉพาะส่วนประกันชีวิต 100,000 บ. เท่านั้น
- ต้องการให้พอร์ตการลงทุนของเงินปันมีผลผลตอบแทนที่สูงระดับ IRR 5%-6% ซึ่งเป็นไปได้ยาก เนื่องจาก คปภ. กำหนดให้ในพอร์ตมีสินทรัพย์เสี่ยงสูงได้เพียง 20% ของพอร์ตเท่านั้น ผลตอบแทนคาดการณ์จึงจะอยู่ประมาณ 3%-4% ดังรายละเอียด >>ผลตอบแทนย้อนหลัง<<)
ทั้งหมดนี้ เป็นความต้องการที่ประกันบำนาญ BLA Happy Pension ไม่สามารถตอบโจทย์ได้ แต่อย่างไรก็ตามถ้าหากความต้องการของท่านไม่ใช่โจทย์เหล่านี้ BLA Happy Pension อาจสามารถเป็นคำตอบที่น่าสนใจ และ สร้างความมั่นใจให้กับท่านได้

สามารถทำประกัน BLA Happy Pension ที่เว็บ BLA โดยตรงได้ แต่ทำไมยังควรทำผ่านทาง Release your Risk

ประกันบำนาญ BLA Happy Pension สามารถสมัครออนไลน์ผ่านทางเว็บของ BLA โดยตรงได้ ซึ่งมีข้อดีคือ จะได้บัตรกำนัลเพิ่มอย่างเช่น บัตรเซ็นทรัลการ์ด หรือ บัตรสตาร์บัค เป็นต้น ในขณะที่เลือกสมัครผ่านทาง Release your Risk จะมีข้อดี นอกจากที่ Release your Risk ทำการบ้านกับแบบประกันอย่างหนักแล้ว ดังต่อไปนี้
- เฉพาะกรมธรรม์ที่สมัครผ่าน Release your Risk จะทำให้ Release your Risk สามารถเข้าถึงข้อมูลของกรมธรรม์นั้นได้ เพื่อช่วยประสานงานจัดทำเอกสารกับหน่วยงานที่เกี่ยวข้องใน BLA โดยตรง เช่น การเปลี่ยนงวดชำระเบี้ย การลดทุนประกัน/ใช้มูลค่าสำเร็จ/เวนคืนกรมธรรม์ (กรณีไม่ได้ใช้สิทธิ์ลดหย่อนภาษีส่วนประกันบำนาญ) หรือ การเคลมมรณกรรม์ แทนที่ ผู้ทำประกัน/ผู้รับประโยชน์ ต้องติดต่อผ่านทาง Call Center และดำเนินการด้วยตนเองทั้งหมด
- Release your Risk มีเครื่องมือวางแผนเบี้ยประสุขภาพด้วยประกันบำนาญ เพื่อให้ผู้ทำประกันผ่านทาง Release your Risk สามารถคำนวณใช้งานวางแผนเพิ่มเติมได้ (สามารถแจ้งความต้องการใช้งานภายหลังกรมธรรม์อนุมัติแล้วได้)
- Release your Risk มีเครื่องมือวางแผนเบี้ยประสุขภาพ และ แผนเกษียณ ด้วย RMF กับ ประกันบำนาญ ให้ผู้ทำประกันผ่านทาง Release your Risk สามารถคำนวณวางรากฐานแผนเกษียณอย่างมีประสิทธิภาพเพิ่มเติมได้ (สามารถแจ้งความต้องการใช้งานภายหลังกรมธรรม์อนุมัติแล้วได้)
- BLA จะมีการจัดโปรโมชันในแต่ละเดือน สำหรับผู้ทำประกันผ่านทางช่องทางตัวแทน หรือ ทาง Release your Risk เช่น โปรโมชันแถมบัตรกำนัลโลตัส เซ็นทรัล และ ปตท. ขึ้นอยู่กับเดือนนั้นๆ รวมถึงมีโปรโมชันสำหรับเดือนเกิดเป็นพิเศษ ที่ไม่มีในช่องทางสมัครผ่านเว็บ BLA ออนไลน์
- ที่สำคัญ BLA Happy Pension ในแผน 99/60 เบี้ยที่คำนวณและแสดงในหน้าเว็บที่สมัครออนไลน์กับ BLA จะมีเบี้ยประกันที่สูงกว่าสมัครผ่านช่องทางตัวแทน เนื่องจากช่องทางตัวแทนจะได้รับส่วนลดเบี้ยเพิ่มขึ้นเป็นพิเศษ
เงื่อนไขที่ต้องทำความเข้าใจก่อนทำประกัน
ประกันเป็นสัญญา 2 ฝ่าย ระหว่าง ผู้สมัคร กับ ผู้รับสมัคร (บริษัทประกัน) ที่มี ตัวแทนประกัน ช่วยประสานงานให้ทั้ง 2 ฝ่ายในแต่ละขบวนการ ดังนี้
- ก่อนยื่นสมัครทำประกันบำนาญ ผู้สมัครจะเป็นผู้เลือกแบบประกันที่สนใจได้อย่างเต็มที่ ตามข้อมูลที่ตัวแทนได้จัดเตรียมและทำการบ้านมา
- ตอนยื่นสมัครทำประกันบำนาญ บริษัทประกันจะเป็นผู้พิจารณาเลือกผู้สมัคร ที่จะเข้าไปเฉลี่ยหรือแชร์ความเสี่ยงกับผู้ทำประกันจำนวนมาก ตามที่ตัวแทนได้ให้ข้อมูลเกี่ยวกับแนวทางการพิจารณา และการประสานงานโต้แย้งผลการพิจารณาหากมี
- หลังสมัครทำประกันบำนาญ ทั้งบริษัทและผู้ทำประกันต้องทำตามสัญญาและเงื่อนไขที่ได้รับทราบตั้งแต่แรก โดยมีตัวแทนคอยประสานงานอำนวยความสะดวกด้านเอกสารหรือการโต้แย้งหากมี และสามารถมีเครื่องมือหรือการวางแผนเกษียณร่วมด้วยได้
ดังนั้นท่านจึงจำเป็นต้องทำความเข้าใจ เงื่อนไข ขั้นตอนการสมัคร แนวทางการพิจารณา เพื่อให้การทำสัญญาครั้งนี้สำเร็จได้ โดยจะมีข้อมูลสำหรับการยื่นสมัครดังต่อไปนี้
ในระหว่างขั้นตอนการพิจารณารับทำประกัน อาจจำเป็นต้องมีการขอข้อมูลตาม พรบ.ป้องกันการฟอกเงิน ดังต่อไปนี้
เขตพื้นที่สีแดง (Red Zone)
ภาคตะวันออกเฉียงเหนือ และ
ภาคเหนือ
▸ ผู้ขอทำประกันมีโอกาสสูงที่จะถูกขอให้แสดงแหล่งที่มาของรายได้ และสินทรัพย์ที่มี (มีที่มาที่ไปว่าทำไมต้องทำประกัน)
เขตจังหวัดสีแดง (Red Province)
อุดรธานี
อุบลราชธานี
ขอนแก่น
หนองบัวลำภู
มหาสารคาม
นครราชสีมา
▸ ผู้ขอทำประกันมีโอกาสสูงที่จะถูกขอให้แสดงแหล่งที่มาของรายได้ และสินทรัพย์ที่มี (มีที่มาที่ไปว่าทำไมต้องทำประกัน)
กรณีทุนประกันภัยสูง (นับทุนประกันชีวิตรวมทุกกรมธรรม์ที่มีผลบังคับ)
ทุนประกัน 1,000,000 บาทขึ้นไป
▸ เอกสารแสดงที่มาของรายได้ เช่น Statement สลิปเงินเดือน เอกสารยื่นภาษี เป็นต้น
ทุนประกัน 5,000,001 บาทขึ้นไป
▸ ตอบแบบสอบถามสำหรับการประกันภัยวงเงินสูง (12 ข้อ)
ทุนประกัน 10,000,001 บาทขึ้นไป
▸ ตอบแบบสอบถามสำหรับการประกันภัยวงเงินสูง (20 ข้อ)
▸ สำเนา Bank Statement ย้อนหลัง 6 เดือน
▸ สำเนาหนังสือจดทะเบียนบริษัท และสำเนารายชื่อผู้ถือหุ้นของบริษัท อายุไม่เกิน 3 เดือน (ถ้ามี)
▸ สำเนางบดุล และงบกำไร-ขาดทุน ย้อนหลัง 3 ปี (ถ้ามี)
เบี้ยประกัน 10 ล้านบาทขึ้นไป (ต่อปี)
▸ ตอบแบบสอบถามสำหรับเบี้ยประกันภัยมูลค่าสูง
▸ สำเนาหลักฐานแสดงแหล่งที่มาของจำนวนเงินที่จะใช้ในการชำระเบี้ยประกันภัยประกอบ เช่น
สมุดบัญชีเงินฝาก / สมุดบัญชีกองทุน / สัญญาซื้อขาย / หนังสือโอนกรรมสิทธิ์ / หนังสือรับรองการหักภาษี ณ ที่จ่าย / แบบยื่นเสียภาษีเงินได้ เป็นต้น พร้อมลงนามรับรองสำเนาถูกต้อง
หมายเหตุ : เขตพื้นที่ความเสี่ยงสูงหรืออาชีพเสี่ยงสูง มีโอกาสที่จะขอเอกสารเพิ่มเติมดังนี้ >> รูปถ่ายปัจจุบันของผู้ขอทำประกันพร้อมที่พักอาศัยตามที่อยู่ที่ระบุโดยเห็นบริเวณบ้าน , ชี้แจ้งรายได้และแหล่งที่มาของรายได้โดยละเอียด , สำเนาสมุดบัญชีธนาคาร , รายการยื่นภาษีเงินได้ , โฉนดที่ดิน เป็นต้น
เงื่อนไขที่สำคัญ
1. ระยะเวลาผ่อนผันชำระเบี้ยประกันภัย 60 วัน
2. กรณีผู้เอาประกันภัยเสียชีวิต ผู้รับประโยชน์จะต้องรีบแจ้งให้บริษัททราบภายใน 14 วัน นับแต่วันที่เสียชีวิต
3. กรณีที่บริษัทจะไม่คุ้มครอง
(3.1) กรณีไม่เปิดเผยข้อความจริง หรือแถลงข้อความเท็จ บริษัทจะบอกล้างสัญญาภายใน 2 ปี นับแต่ วันเริ่มมีผลคุ้มครองตามกรมธรรม์ หรือตามการต่ออายุ หรือวันที่บริษัทอนุมัติให้เพิ่มจำนวนเงินเอา ประกันภัยในเฉพาะส่วนที่เพิ่ม
(3.2) ฆ่าตัวตายภายใน 1 ปี นับแต่วันเริ่มมีผลคุ้มครองตามกรมธรรม์ หรือตามการต่ออายุ ตามกรมธรรม หรือตามการต่ออายุ หรือวันที่บริษัทอนุมัติให้เพิ่มจำนวนเงินเอาประกันภัยในเฉพาะส่วนที่เพิ่ม หรือถูกผู้รับประโยชน์ฆ่าตาย
เอกสารที่ใช้ประกอบการเรียกรองเงินตามกรมธรรมประกันภัย กรณีการเสียชีวิตจากโรค
(ก) กรมธรรม์ประกันภัยของผู้เอาประกันภัย และใบเรียกร้องสิทธิของผู้รับประโยชน์ทุกคน ตามแบบที่บริษัทกำหนด
(ข) สำเนาบัตรประจำตัวประชาชน และสำเนาทะเบียนบ้านของผู้รับประโยชน์ โดยต้องนำต้นฉบับมาแสดงด้วย
(ค) สำเนาใบมรณบัตร โดยต้องนำต้นฉบับมาแสดงด้วย
(ง) สำเนาทะเบียนบ้าน ที่มีการจำหน่ายการตายของผู้เอาประกันภัย โดยต้องนำต้นฉบับมาแสดงด้วย
(จ) ใบยินยอมของผู้รับประโยชน์ หรือ ทายาทในการเปิดเผยประวัติ
(ฉ) ใบรายงานแพทย์ กรณีเสียชีวิตที่โรงพยาบาลหรือสถานพยาบาล
ถ้าเป็นการเรียกร้องเงินตามกรมธรรม์ประกันภัยกรณีเสียชีวิตจากอุบัติเหตุ หรือเหตุอื่น ต้องมีเอกสารเพิ่มเติมต่อไปนี้
(ช) สำเนาบันทึกประจำวันเกี่ยวกับคดีที่ได้รับรองสำเนาถูกต้องจากพนักงานสอบสวน
(ซ) สำเนารายงานการชันสูตรพลิกศพ
คำนวณเบี้ยหรือบำนาญของ ประกันบำนาญ BLA Happy Pension ที่ต้องการ











